01 Нау 2022
Оқу жоспарлары aktasti

Әлеуметтік педагог 5 жылдық

2017-2018 оқу жылы

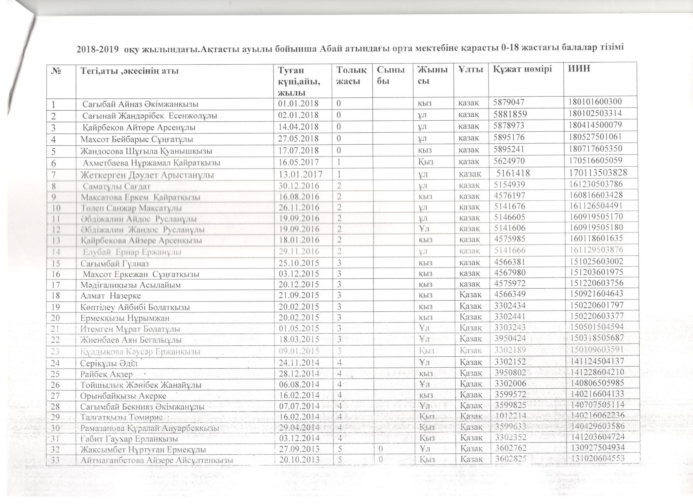
2018-2019 оқу жылы

2019-2020 оқу жылы

2020-2021 оқу жылы

2021-2022 оқу жылы

Жаңалыктар